Ink control, steam drums, smart positioners
“Ask the Expert” at ControlGlobal.com is moderated by Béla Lipták, editor of the Instrument Engineer’s Handbook. He is the former Chief Instrument Engineer of C&R (later John Brown) and is recipient of ISA’s 2005 Life Achievement and Control’s 2001 Hall of Fame awards. In this column, he welcomes questions concerning the fields of process control and automation.
QUESTION:
I would like to know if there’s a simple controller to receive a signal directly from a capacitive proximity sensor to be able to control a 2-inch ink well with in 1/4-inch level for a printing press unit. I would like for the controller to pull in a relay to activate a 110 solenoid in varying amounts of time, such as 1-second to 10-second intervals, so as not to overfill the ink well; also with the capability of alarm relay contacts if the level went too high should the solenoid leak through or malfunction. Is there such an instrument out there? At what cost?
David Perryman, Morrison Communications, [email protected]
ANSWER:
Capacitance proximity switches are available with sensing distances adjustable from 0.1 inch to 1.0 inch or more, with a capacitance change sensitivity of 0.02 pF. An example of a DC 3-wire, adjustable-sensitivity capacitive sensor is Omron’s E2K-C25ME1, at about $150.
You can connect six such 24-VDC inputs from capacitive sensors to a small logic unit, which will give you the ability to program your desired solenoid and alarm cycles, using the four relay outputs of the unit. An example is Omron’s ZEN-10C1DR-D-V1 with a ZEN-PA03324 power supply at a cost of $300.
Naturally, there are a large variety of suppliers of such products on the market. If you need competitive bids, refer to chapter 7.14 in the first volume of my handbook (p. 965) for a complete list and their web pages.
Béla Lipták
QUESTION:
I am working in the power house. Sometimes, but not always, our boiler steam drum doesn’t trip when the drum level is very high. Can you tell me why?
Nasser al Nasser, Control Room Operator
ANSWER:
Proper boiler operation requires that the level of water in the steam drum be maintained within a certain band. A decrease in this level may uncover boiler tubes. An increase may interfere with the operation of the internal devices in the drum that separates the moisture from the steam and may cause liquid carryover that can damage the steam turbine.
The water level in the steam drum is related to, but is not a direct indicator of the quantity of water in the drum. At each boiler load, a different volume is occupied by steam bubbles. As load is increased, this volume rises, causing the water to “swell,” rather than fall. [Editor’s Note: The phenomenon of shrink-swell is well-known, so we’ve inserted the graphic into the web-based version of this article.
Therefore, if the drum volume is kept constant, the corresponding mass of water is minimum at high boiler loads and maximum at low boiler loads.
Feedwater is always colder than the saturated water in the drum. Some steam is therefore condensed when contacted by the cold feedwater. As a consequence, a sudden increase in feedwater flow tends to collapse some bubbles in the drum and temporarily reduces their formation in the evaporating tubes. Then, although the mass of liquid in the system has increased, the apparent liquid level in the drum falls. Once equilibrium is restored, the level will begin to rise.
Nonetheless, the initial reaction to a change in feedwater flow tends to be in the wrong direction. This property, called “inverse response,” causes an effective delay in control action, making control more difficult.
Now, to your question: Capacitance-type proximity switches are sensitive, narrow-range devices. If they are located at a high level not far enough above the set point of the drum-level controller, or if the drum-level controller is not tuned properly, you will get false trips. If the operator is not experienced, he or she might just be annoyed by the false trips and remove or bypass the high-level safety switch.
So, my guess is that in your plant, some drums have no trips, because the high-level safety switch was not properly located, while others do, because they are high enough and therefore do not give false trips.
Béla Lipták
QUESTION:
We have 10 gas wells and a gas purification plant. At the gas purification plant, we have large numbers of control valves installed with DVC smart positioners, but we are not getting any advantage from them. I would like to have some guidance from you as to how we can better use these smart positioners for better control valves performance and diagnostics.
Muhammad Waqas, MInstMC, Instrument Engineer, Sawan Onshore Gas Field, OMV Exploration & Production-Pakistan
ANSWER:
A traditional valve positioner maintains a valve at the opening that corresponds to the value of the control signal. Digital valve controllers can also collect and analyze valve position data, operating characteristics and performance trending, and digital communication to enable diagnostics of the entire valve assembly.
Smart valves can measure their own upstream and downstream pressure, temperature, valve opening (stem position) and actuator air pressure. They should also eliminate conversion errors (D/A and A/D), guarantee interchangeability between positioners, provide increased accuracy,improve stability and offer wider rangeability.
Valve performance is usually monitored by checking the “zero” position and the travel span of the valve. Additional tests can monitor the air pressure in the actuator as a function of stem travel and can compare this “signature” against the data obtained when the valve was newly installed.
A major deviation from the “desired” characteristic can indicate a too-tight valve stuffing box, a corroded stem or a damaged actuator spring, which can cause an increase in the dead band and the dead time, thereby creating a potential for instability and cycling in the control loop. This data can be called up via HART protocol and become a vital part of the plant’s asset management system.
Another common feature of digital positioners is their ability to modify the relationship between the controller’s output signal and the pneumatic output signal to the valve actuator. The effect of this relationship is to alter the valve’s inherent flow characteristic. In addition to “quick opening,” “linear” or “equal percentage,” the characteristics can also be “user-defined” and custom-programmed.
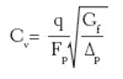
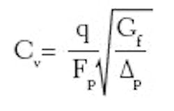
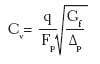
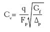
Because a control valve is a variable-area flow meter with a variable pressure drop, the stem position of a control valve can indicate the flow through a valve, just as a variable-area flowmeter (a constant ΔP device) can if the valve ΔP is detected. Smart valves can measure the flow through the valve by solving the appropriate valve-sizing equation for flow. For example, for turbulent, non-choked liquid flow, (q) can be obtained from:
if the valve capacity coefficient (Cv), the piping geometry coefficient (Fp), the liquid specific gravity (Gf), and pressure difference (ΔP) across the valve are known.
Smart valves provide self-diagnostics, because the valve can compare its present behavior with its past performance. When a problem, such as a sticking stem or worn trim, is identified, the intelligent valve can automatically request and schedule its own maintenance.
Béla Lipták


