Distillation is a common and energy-intensive method of separation in the petroleum, chemical, food, paper, and pharmaceutical industries. Globally, more than 80 million barrels of crude oil are refined daily. In the United States, 146 refineries operate, employing over 65,000 people and producing a total value that exceeds $150 billion. Yet, in the U.S., no new refinery has been built since 1976, and the control technology in use today is not much different from that used on the first distillation columns.
During the coming global transition from the oil-based economy to a clean and inexhaustible energy economy, the importance of distillation will increase. This is because ethanol and biodiesel duels will also need to be distilled, and because new oil refineries will also need to be built. It is hoped that the designers of these new refineries will benefit this series of articles.
The thermal energy requirements of distillation are enormous. The thermodynamic efficiency of distillation processes is less than 10%. The amount of energy used for distillation is approximately 8% of the total energy used in the industrial sector of the U.S. Refineries spend 50% to 60% of their operating costs (excluding capital costs and depreciation) on energy, while the much more advanced chemical industry spends only 30% to 40%. This difference shows that substantial savings can be obtained just by implementing state of the art controls and optimization.
Multiple Product Distillation
Most separations involve multiple components and produce multiple liquid or vapor products. When, in addition to the overhead and bottom products, thereās a side stream, an additional degree of freedom is available. This is because the overall material balance becomes:Ā F = D + C + B, where C is the side-stream flow rate. In such cases, two out of the three product streams can be manipulated, while throttling the third to close the material balance. This added degree of freedom makes it even more essential to avoid mismatching the manipulated and controlled variables.
Left: Multi-product fractionator controls where, after dynamic correction, the boil-up (V), side-draw (C) and distillate (D) flows are ratioed to the feed flow (F); Right: The true boiling points are controlled by throttling the product flows, while heat balance is controlled by manipulating the reflux flows.
If the feed rate and column pressure are held constant in a side-stream column, five degrees of freedom existāthree compositions and two levels. These five controlled variables can be assigned to manipulate the material and heat balance by throttling the three product flows and the heat and cooling loads (V and L). As was discussed in detail in Part 1 of this series (see āDistillation Control and Optimization,ā Control, Nov. ā06, p. 16), interactions among the loops can be minimized by evaluating the relative gains of the possible manipulated and control variable combinations.
After such evaluation, one might arrive at the controls shown on the left side of Figure 1. Here the ratio of heat input to feed (V/F, boil-up to feed) is held constant, and separate dynamic compensation elements are used for the distillate, heat input, and side-stream loops.
The Refining Industry
Super-fractionators are used to separate streams with close relative volatilities between the light and heavy key components. These include de-isobutanizers, which separate isobutane from normal butane; propylene splitters, which separate propane from propylene; ethylbenzene towers, which separate ethylbenzene from xylene; and xylene splitters, which separate para and ortho-xylene from meta-xylene.
Super-fractionators require many trays, and therefore the column heights often necessitate dividing them into two or even three sections. Super-fractionators require high internal vapor and liquid rates and high flow ratios of both reflux-to-distillate and vapor-to-bottoms. These result in large tower pressure drops, long time constants and long dead times. Therefore, the response of compositions to the manipulation of feed and reflux flows is slow. As a consequence, dynamically compensated material balance control is recommended to control the distillate compositions.
Feed composition based feed-forward control of distillation.
Multi-product fractionatorsācrude towers, vacuum towers and fluidized catalytic cracking unit (FCCU) main fractionatorsāare common in the refining industry. Product quality is often based on true boiling point (TBP) cut points, which approximate the composition of a hydrocarbon mixture and are numerically similar to the American Society for Testing and Materialsā (ASTM) 95% points.
As shown in Part 1, an artificial neural network (ANN) can calculateāon the basis of local temperature, pressure, steam flow and reflux dataāthe 95% boiling point or TBP cut point of the products.
If there is a boiling point analyzer, the ANN-based approximation can be used as the measurement for a fast inner slave loop of a cascade configuration in which the analyzer provides the measurement for the slower master controller, which trims the set point of the slave. In most multiproduct fractionators, the volume of liquid and vapor loads are large, and the best control sensitivity and quickest response can be usually obtained by throttling the product flows.
Heat balance is often controlled by throttling the flows of pump around reflux streams (right side of Figure 1). The goal is to maximize the amount of heat transferred to the feed.
Multivariable Control
Traditional PID controls usually implement single-input-single-output (SISO) algorithms, while advanced controls work with multiple inputs and outputs (MIMO). The modeling of a process can be of the āwhite boxā or āblack boxā type. White box modeling is used for well-understood processes, such as distillation, where the knowledge of mass, energy and momentum balances allows the development of accurate dynamic models. These internal model control (IMC) systems are useful in optimizing the process and in anticipating future events.
āBlack boxā or model-free controls (MFC) include the ANNs, fuzzy logic and statistical process control strategies. These algorithms are trained on the data obtained from the past operation of the controlled process. Their limitations include the relatively long learning period they require and the fact that their knowledge is based on the past performance of the process. Therefore, theyāre not well-suited to anticipating future events, and if operating conditions change, they require retraining.Ā
Feed Composition Compensation
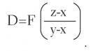
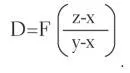
Feed-forward control configurations are required if fast changes in feed composition occur, because such sudden changes canāt be handled by feedback control alone. If z is the concentration of the key component in the feed, the distillate flow is calculated as:
Therefore, when z is measured, the equation for distillate can be simplified to:
where m is the output of a feedback trim controller (ARC-1 in Figure 2), which maintains the overhead composition.
The feed composition analyzer measurement is sent through an auto manual station (HIC), so that during periods of analyzer failure or maintenance, the signal can be substituted by a manually generated one. The feed-flow measurement (F) is dynamically compensated (FY) to reflect the dead time and time constants of the process. The feed-forward product of the feed composition (z) and the feed flow (F) is divided by the feedback overhead composition controller (ARC-1) output to arrive at the set point of the distillate flow controller (FRC).
The reboiler heat input also is feed-forward compensated, because the ratio controller (RIC) maintains the feed to boil-up ratio (F/V) on the basis of the dynamically compensated (FY) feed flow. The material balance of the column is closed by the bottoms level controller (LIC), which is modulating the bottoms flow.
| Ā About the Author | 
About the Author
BƩla LiptƔk
Columnist and Control Consultant
BĆ©la LiptĆ”k is anĀ automation and safety consultant and editor of the Instrument and Automation Engineersā Handbook (IAEH).

Leaders relevant to this article:






